4463元/平方米起!昆明又一楼盘打出“骨折价”
扫描到手机,新闻随时看
扫一扫,用手机看文章
更加方便分享给朋友
临近年底,昆明公寓市场再现特价公寓。呈贡高铁南站附近一项目推出员工内购特价,单价低至2500元/平方米,这个超低价格在业内引发热议。

然而一波未平一波又起,就在昨日,呈贡大渔片区的另一项目也推出了特价公寓,单价低至4463元/平方米,一次付款还有额外优惠。昆明楼市为何频见特价公寓?这对市场有什么参考意义?
01 2500元/平方米 “白菜价”公寓引发热议
11月中旬,经多方打听,一位房产中介给都市时报·大象房鉴所记者发来一份《项目11月员工内购政策》。
该文件中称,为确保某项目商办产品的快速去化及年度指标的达成,实现资金快速回笼,项目营销管理部结合现有库存货包的梳理情况,申请执行某项目员工内购政策,其中,员工内购SOHO产品房源单价均为一口价2500元/平方米;LOFT产品房源单价均为一口价3300元/平方米,要求一次性付款,认购之日起2日内付清全款,执行时间为2021年11月5日至2021年11月7日。
该文件落款时间为2021年11月4日。
11月17日上午,记者来到位于呈贡高铁南站附近的项目营销中心。营销中心后方就是正在建设的项目工地,部分楼栋主体已经呈现,外观也刷了漆,工地内正在施工。

项目沙盘内的多个楼栋模型上贴有“售罄”字样的标签,至于内购政策中提到的2500元/平方米的公寓,记着并未看到此价格的房源。

置业顾问介绍,目前项目在售房源不多,仅剩20多套,有平层和LOFT两种公寓产品。
“平层公寓均价4500元/平方米,LOFT公寓均价6100—6200元/平方米,平层公寓面积20多平方米,LOFT面积在40—60多平方米,2022年9月和2023年年初分批陆续交付。”

据了解,该项目曾于十一和双十一期间推出中平层公寓优惠价,力度和目前一样,都是4500元/平方米;LOFT公寓价格为5800—5900元/平方米。去年,该项目公寓较高售价约9000—10000元/平方米。
02 今年1—10月 昆明共卖了16640套公寓
除了该特价项目,位于呈贡大渔片区的另一项目也推出了100套特价公寓,房源分别位于项目S11栋2、8、9楼和4楼整层,具体价格为:50平方米2楼房源单价低至4463元/平方米,49平方米8楼房源单价低至5382元/平方米,70平方米全款30万元(贷款32万元)起。

按揭和一次性付款的优惠差距在6个点。该项目交房时间为2022年6月。
今年公寓市场不景气,已是业内共识。巫家坝、西北新城、经开区、呈贡等多个公寓产品集中在售的片区,之前曾多次推出过优惠力度不一的特价公寓。

那么,今年以来公寓市场的销售情况如何?是否被优惠价撬动了呢?
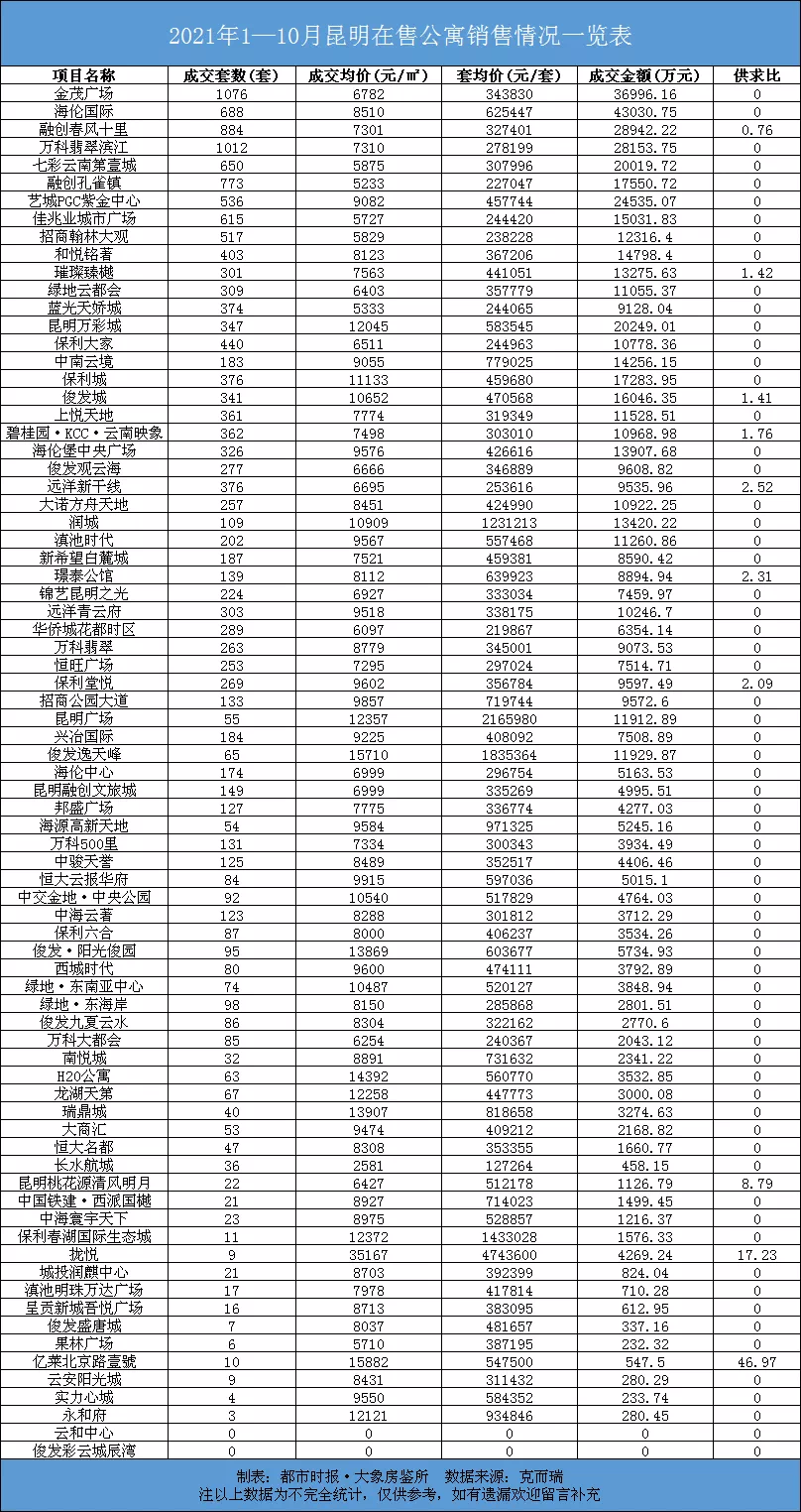
克而瑞提供的今年1—10月昆明在售公寓的销售数据显示,今年,昆明主城四区加呈贡区在售公寓项目共有77个,截至10月底累计成交16640套公寓,成交金额达64.95亿元,成交均价8883元/平方米,套均价约54万元。

具体来看,成交套数最多的项目是金茂广场,共成交1076套,成交均价6782元/平方米,套均价约34万元。而成交套数最少的是永和府项目,共成交3套,成交均价12121元/平方米,套均价约93万元。
公寓产品中,成交套均价较高的项目是拢悦,套均价约474万元,共成交9套,成交均价35167元/平方米,同时该项目也是成交均价较高的项目。
而成交均价较低的是长水航城项目,成交均价2581元/平方米,共成交36套,套均价约12万元。
值得注意的是,今年前10个月,公寓供应面积为26.24万平方米,共有5322套,成交面积为80.86万平方米,共16640套。从数据来看,今年昆明公寓市场仍是“求大于供”状态。
克而瑞10月昆明房地产月报显示,截至10月底,昆明商品房市场库存量高达2030万平方米,去化周期25个月;其中,办公+公寓存量为580万平方米,去化周期为49.05个月,存量与去化周期环比减少,但存量仍居高位,去库存任务艰巨。
03 专家观点 未来3—5年昆明公寓市场或将回归平稳
从去年到今年,有关部门已经从政策端入手,限制了新增公寓项目的审批与商办改公寓的现象。未来公寓市场已难再有新增量。这对昆明公寓去库存是否有推动作用?
诸葛找房数据研究中心分析师梁楠分析认为,新政策从供应端限制新建公寓项目入市,遏制昆明房地产市场商办改公寓等市场乱象,有助于平衡供大于求的公寓市场,避免公寓库存压力进一步加大,从长远来看,对公寓产品去库存有一定利好,但受限于公寓库存积压较大、产品自身缺点等,昆明公寓的去化压力仍较大。
在没有新增公寓产品的情况下,随着市场积压产品逐步被消化,未来3—5年后,昆明公寓市场或将回归健康平稳的主旋律。

公寓产品的增值,不仅与市场供销有关,还与产品所处地段、周边交通等因素有一定关联,所以公寓产品是否会增值具有一定的不确定性。
昆明公寓价格上涨一定程度上是由于受到部分地处核心区域、拥有稀缺资源、品质较为上乘的项目成交价格小幅上涨的带动,但在昆明公寓市场库存高企、去化难度大的现状下,部分开发商为快速回款,选择降价促销等手段加速去化,一定程度上拉低昆明公寓市场成交均价,致使昆明公寓市场抗跌性不高。
购房者面对开发商推出的特价公寓该如何选择?梁楠认为,与住宅相比,公寓产品具有不限购、低总价的优点,开发商特价公寓的推出,对于刚需群体而言有一定的吸引力,但若购买公寓产品,购房者需综合考量地段、交通、政策规划等多方面因素,理性分析部分房价折扣力度较大的项目,谨慎入市,避免延期交房、产品配套无法兑现等问题的出现。
价格是吸引客群的重要因素,“白菜价”“骨折价”公寓值得买吗?
声明:本文由入驻焦点开放平台的作者撰写,除焦点官方账号外,观点仅代表作者本人,不代表焦点立场。


